• 摘要

    利用逆向工程与3D打印技术定制了患者的胫骨干骨折模型,对Orthofix单边外固定器固定胫骨干骨折方式的生物力学进行了研究。通过设计正交试验方案,采用XTDIC三维全场变形测量系统对Schanz钉在针夹上的分布、最外侧Schanz钉到骨折断端的距离、胫骨到外固定器的距离三种因素对Schanz钉的变形进行了测量。实验结果表明:当Schanz钉数量较少时,在压力载荷作用下会造成Schanz钉的弯曲变形增大,增加了外固定器塑性变形及疲劳断裂的可能性。根据综合九种方案的力学分析结果,外固定器到胫骨的距离对Schanz钉的变形影响最显著。当在针夹上安装6根Schanz钉,外侧Schanz钉到骨折断端的距离为120 mm和外固定器到胫骨的距离为30 mm时的方案综合性能最优。

    关键词

    Abstract

    The tibial shaft fracture model was customized by reverse engineering and 3D printing technology, and the biomechanics of the Orthofix Unilateral External Fixator for tibial shaft fracture was studied. Through the design of an orthogonal experiment scheme, the distribution of the Schanz's nails on the clamp, the distance from the lateral the Schanz's nails to the fracture end, and the distance from the tibia to the external fixture were measured by the XTDIC-CONST 3D Full-Field Strain Measurement and Analysis System. The experimental results show that when the number of the Schanz's nails decreased, the bending deformation of the Schanz's nails will increase from pressure load, which increases the possibility of plastic deformation and fatigue fracture of the external fixator. According to the mechanical analysis results of the nine schemes, the distance from the external fixture to the tibia has the most significant effect on the deformation of the Schanz nail. When installing six Schanz pins in the clip, the distance from the lateral Schanz's nail to the fracture end is 120 mm, and the distance from the external fixture to the tibia is 30 mm. The comprehensive performance of the scheme is the best.

    Keywords

  • 3D打印技术是通过CAD设计数据采用材料逐层累加的方法制造实体零件的技术,在消费电子产品、汽车、航天航空、医疗、军工、艺术设计等领域得到了广泛应用[]。3D打印技术与医疗相结合在辅助外科手术、个性化医疗器械、组织工程、医学教育与基础科研方面拥有极佳的应用前景[],尤其是在骨科中得到了越来越多的关注及应用研究[-]

    外固定器固定是治疗骨折时常见的固定方式之一,医生通常根据经验选择外固定的类型、安装位置及Schanz钉的数量[-],如图 1所示为胫骨骨折的外固定方式。当固定方案不合理时会造成外固定的稳定性差甚至导致Schanz钉断裂。在传统骨折治疗的生物力学研究中,常使用简化的骨模型或尸体骨通过万能力学试验机、位移传感器、粘贴应变片的方法对外固定的稳定性进行研究[-];简化的骨模型与某一具体病人的骨折情况存在差异,每根尸体骨之间的力学性能也存在差距,且足够数量、尺寸一致的新鲜尸体骨来源有限;测量过程中使用万能力学试验机无法测量单根Schanz钉的变形量、应变片和位移传感器采集到离散的点在反映变形的完整性方面有所不足。学者们为了使分析结果更接近患者的真实情况,利用逆向工程重构患者的骨骼进行数值模拟分析[],运用3D打印技术制作骨模型进行实验分析并制定了个性化的治疗方案[-]。刘豫鑫等[]采用三维全场变形测量的方法研究了锁定钢板工作长度的生物力学,但所用的简单骨模型与胫骨解剖形态存在差异,对植入物的稳定性结果产生影响。

    图 1 外固定器固定胫骨示意图
    图  1 

    外固定器固定胫骨示意图

    Figure  1. 

    Schematic diagram of the external fixator fixing tibia

    本文采用逆向工程和3D打印技术相结合的方法重构了骨折患者的1:1的胫骨骨折模型,在测量方法上采用了XTDIC三维全场变形测量系统对Orthofix单边外固定器的整体变形进行精确的测量,以便探索更加合理的、个性化的固定方案,为医生制定手术方案提供依据。

    合作医院(新疆医科大学第一附属医院)的医生希望针对不同的骨折患者来制定个性化的固定方案,因此可以利用逆向工程建立骨折模型进行针对性地分析。虽然3D打印骨模型与真实骨的力学性能不同,但是Schanz钉变形的趋势相同。本研究采用一名34岁女性胫骨骨折患者的腿部CT数据(经医生与患者沟通,患者同意使用CT数据,并通过伦理审查)。应用医学影象处理软件Mimics(Materialise Company,比利时)对CT数据进行阈值分割、区域增长等处理提取胫骨干骨折模型并保存为3D打印所通用的STL格式,再导入到3D打印机(Z18,MakerBot,美国)中进行打印,继而进行生物力学分析,图 2为骨折模型制作流程图。

    图 2 骨折模型制作流程图
    图  2 

    骨折模型制作流程图

    Figure  2. 

    The flow chart of the fracture model making

    本研究主要对胫骨干外固定方式中的Schanz钉在针夹上的分布A和最外侧Schanz钉到骨折断端的距离B和胫骨到外固定器的距离C三种因素综合考虑,根据患者的主治医师所提出的要求确定每个因素的三个水平,采用L9(33)正交表进行正交试验,对外固定器的生物力学进行测试,确定最佳因素水平的固定方案,保证外固定的稳定性。所选因素与水平如表 1所示,Schanz钉在胫骨上的分布试验方案见表 2

    水平 因素A 因素B/mm 因素C/mm
    1 1、2、3 100 40
    2 1、2 120 30
    3 1、3 140 50
    下载: 导出CSV 
    | 显示表格
    胫骨骨折模型孔的布局示意图 试验编号 因素 H1 H2 H3 H4 H5 H6 H7 H8 H9 H10
    A B C
    1 A1 B1 C1
    2 A1 B2 C2
    3 A1 B3 C3
    4 A2 B1 C2
    5 A2 B2 C3
    6 A2 B3 C1
    7 A3 B1 C3
    8 A3 B2 C1
    9 A3 B3 C2
    下载: 导出CSV 
    | 显示表格

    本次实验最大轴向载荷为370 N,对应一个体重为74 kg的成年人双足站立时胫骨所承受的轴向负荷。将骨折模型两端用环氧树脂固化,并用Orthofix单边外固定器(10119,苏州悦来医疗器械有限公司,中国)固定,确保骨折间隙的两端在轴向加载的过程中没有接触,外固定系统置于自制的压缩试验机上,载荷通过贯通式步进电机的丝杆施加,保证轴向压缩时载荷传递模拟生理条件下力线的传递,其速度可由步进电机手轮控制器调节。根据表 2试验编号依次进行压缩实验,加载至370 N,循环加载5次,采用由两组Basler相机组成的XTDIC三维全场变形测量系统(XTDIC-CONST-SD,新拓三维技术有限公司,中国),一组测量骨折断端以上的Schanz钉,一组测量骨折断端以下的Schanz钉。为了精确得到Schanz钉的三维点的数据,将两组Basler相机标定在一个坐标系内,利用其非接触性、无破坏性、高精度、测量速度快的特点,可以得到更加准确的测量结果。实验中以200 Hz的频率同时对外固定器上下的Schanz钉的变形进行测量,如图 3所示。图 4为三维全场变形测量系统所采集的胫骨到外固定器之间Schanz钉的位移云图。

    图 3 实验展示图
    图  3 

    实验展示图

    Figure  3. 

    Experiment display diagram

    图 4 Schanz钉位移云图。
    图  4 

    Schanz钉位移云图。

    (a) 方案A1B1C1;(b) 方案A1B2C2;(c) 方案A1B3C3;(d) 方案A2B1C2;(e) 方案A2B2C3;(f) 方案A2B3C1;(g) 方案A3B1C3;(h) 方案A3B2C1;(i) 方案A3B3C2
    Figure  4. 

    Schanz nail displacement cloud map.

    (a) Scheme A1B1C1; (b) Scheme A1B2C2; (c) Scheme A1B3C3; (d) Scheme A2B1C2; (e) Scheme A2B2C3; (f) Scheme A2B3C1; (g) Scheme A3B1C3; (h) Scheme A3B2C1; (i) Scheme A3B3C2

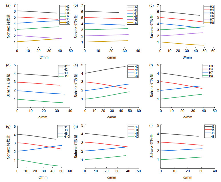
    在正交试验不同因素水平的组合下,利用三维全场变形测量系统得到Schanz钉的三维点坐标,通过创建截线的方式可输出Schanz钉上某一条线的三维信息。Schanz钉变形量与胫骨到外固定距离d的关系如图 5所示,图 5(a)~5(i)分别对应试验1~9。总体上来说,外固定器上下两端Schanz钉的变形量相差较小。当Schanz钉数量相同时胫骨到外固定器的距离越小,Schanz钉的变形量越小;当胫骨到外固定器的距离一定时,随着Schanz钉数量减少,外固定器上每根Schanz钉的变形量增大。不同的方案Schanz钉向上或向下变形的趋势不同。

    图 5 Schanz钉的变形量与距离的关系图。
    图  5 

    Schanz钉的变形量与距离的关系图。

    (a) 方案A1B1C1;(b) 方案A1B2C2;(c) 方案A1B3C3;(d) 方案A2B1C2;(e) 方案A2B2C3;(f) 方案A2B3C1;(g) 方案A3B1C3;(h) 方案A3B2C1;(i) 方案A3B3C2
    Figure  5. 

    The relationship between the deformation of Schanz's nails and the distance.

    (a) Scheme A1B1C1; (b) Scheme A1B2C2; (c) Scheme A1B3C3; (d) Scheme A2B1C2; (e) Scheme A2B2C3; (f) Scheme A2B3C1; (g) Scheme A3B1C3; (h) Scheme A3B2C1; (i) Scheme A3B3C2

    各试验组Schanz钉的变形量见表 3。对各试验组的刚度进行比较可以看出A1B2C2的刚度最好,见图 6。外固定器在加载方向上的刚度由公式KF=F/X导出,F表示施加在胫骨平台上的外力,X表示Schanz钉的变形量。

    试验方案 Schanz钉的变形量/mm
    A1B1C1 0.42±0.03
    A1B2C2 0.21±0.02
    A1B3C3 0.60±0.06
    A2B1C2 0.44±0.01
    A2B2C3 0.79±0.11
    A2B3C1 0.62±0.07
    A3B1C3 0.69±0.21
    A3B2C1 0.48±0.05
    A3B3C2 0.31±0.06
    下载: 导出CSV 
    | 显示表格
    图 6 9组胫骨骨折外固定模型刚度比较
    图  6 

    9组胫骨骨折外固定模型刚度比较

    Figure  6. 

    Comparison of the stiffness of 9 groups of tibial fracture external fixation models

    通过对胫骨外固定系统中Schanz钉的变形量直观分析表明:极差RC > RA > RB,所以实验中各因素对Schanz钉变形量影响的主次顺序为外固定架到胫骨的距离(C)、Schanz钉在针夹上的位置(A)、外侧Schanz钉到骨折断端的距离(B),Schanz钉变形量越大外固定器的稳定性越差。在A因素下K1 < K3 < K2,可知A1为因素A的最佳方案;故分析可知B2、C2为因素B、C的最佳方案,见表 4

    实验结果分析 因素
    A B C
    K1 1.2367 1.5517 1.5171
    K2 1.8568 1.4817 0.9667
    K3 1.4721 1.5322 2.0818
    极差R 0.2067 0.0233 0.3717
    因素主次 C A B
    最优方案 A1 B2 C2
    下载: 导出CSV 
    | 显示表格

    通过对变形量数据方差分析表明:FA的伴随概率pA(0.00018)、FB的伴随概率pB(0.013)、FC的伴随概率pC(0.00006)均小于显著性水平(0.05),即三种因素的不同水平对Schanz钉的变形量产生了显著影响。同时由pC < pA < pB可得出影响Schanz钉变形量的因素主次顺序为C、A、B,如表 5所示。

    差异源 Ⅲ型平方和SS 自由度df 均方MS F值 显著性
    因素A 0.0653 2 0.0327 5689.2903 0.00018
    因素B 0.0009 2 0.0004 75.7741 0.013
    因素C 0.2073 2 0.1036 18049.8767 0.00006
    误差 1.148E-5 2 5.741E-6
    总计 0.2735 8
    下载: 导出CSV 
    | 显示表格

    在相同载荷下的条件下,外固定器到胫骨的距离为30 mm时,Schanz钉作为悬臂梁所承受的弯矩最小,其变形也就最小。Schanz钉的数量增多时,外固定器上每根钉子所承受的载荷减小。当Schanz钉数量相同时,Schanz钉在针夹上的分布对外固定器的稳定性也有影响,即Schanz钉在针夹1、3位置的变形量小于在1、2位置的变形量,相邻的Schanz钉在胫骨上的跨度越小时胫骨所受的约束力越集中,外固定系统越不稳定。当Schanz钉离骨折断端越远,外固定器的工作长度越大,稳定性越差;但Schanz钉离骨折断端越近,施加在胫骨平台上的载荷对Schanz钉的扰动越大,胫骨外固定系统的稳定性越差,所以外侧Schanz钉到骨折断端的距离为120 mm时,胫骨外固定系统的稳定性最好。经与医生讨论,该实验方案得到的结果与医生前期开展的相似病例治疗的结果吻合,医生认为力学实验能够定量、直观的分析每根Schanz钉的受力情况,可为医生制定手术方案提供参考。

    本文通过逆向工程与3D打印技术相结合的方法制作了一名34岁女性患者的胫骨干骨折模型,并对骨折外固定器的生物力学进行了分析,主要结论如下:

    1) 针对不同骨折的患者利用逆向工程和3D打印相结合的方式制作1:1的骨折模型,并进行外固定方式的实验研究,有助于准确地为其提供个性化的治疗方案。

    2) Schanz钉在针夹上的位置、外侧Schanz钉到骨折断端的距离和外固定器到胫骨的距离三个因素对Schanz钉的变形量和刚度均有影响,且外固定器到胫骨的距离对其影响最显著。

    3) 通过对三种因素不同水平下Schanz钉的变形量分析,当Schanz钉在针夹上的位置为1、2、3,外侧Schanz钉到骨折断端的距离为120 mm和外固定器到胫骨的距离为30 mm时为最优方案,且外固定器的刚度最大,即6根Schanz钉分别置于两截断骨的中部时,外固定器到胫骨的距离越小,外固定器的刚度越好。

  • 基金

    基金项目: 

    新疆维吾尔自治区自然科学基金资助项目 2019D01C040

    Funds: 

    National Natural Science Foundation of the Xinjiang Uygur Autonomous Region 2019D01C040

  • 参考文献

    卢秉恒, 李涤尘. 增材制造(3D打印)技术发展[J]. 机械制造与自动化, 2013, 42(4): 1-4.

    DOI: 10.3969/j.issn.1671-5276.2013.04.001

    Lu B H, Li D C. Development of the additive manufacturing (3D printing)technology[J]. Mach Build Autom, 2013, 42(4): 1-4.

    DOI: 10.3969/j.issn.1671-5276.2013.04.001

    邓滨, 欧阳汉斌, 黄文华. 3D打印在医学领域的应用进展[J]. 中国医学物理学杂志, 2016, 33(4): 389-392.

    DOI: 10.3969/j.issn.1005-202X.2016.04.014

    Deng B, Ouyang H B, Huang W H. Application progress of three-dimensional printing in medical field[J]. Chin J Med Phys, 2016, 33(4): 389-392.

    DOI: 10.3969/j.issn.1005-202X.2016.04.014

    阿依古丽·喀斯木. 3D打印技术在骨科手术辅助中的应用研究[D]. 乌鲁木齐: 新疆大学, 2017.

    Application of 3D printing technology in the orthopedic surgery assist[D]. Urumqi: Xinjiang University, 2017.

    蒋明辉, 蔡立宏, 雷青, 等. 3D打印技术在骨科临床的应用研究及展望[J]. 中华损伤与修复杂志(电子版), 2016, 11(4): 288-290.

    DOI: 10.3877/cma.j.issn.1673-9450.2016.04.011

    Jiang M H, Cai L H, Lei Q, et al. Application research and prospect of 3D printing technology in department of orthopedics[J]. Chin J Inj Repair Wound Heal (Electron Ed), 2016, 11(4): 288-290.

    DOI: 10.3877/cma.j.issn.1673-9450.2016.04.011

    展开
  • 期刊类型引用(2)

    1. 倪博文,于泓,于洋,曲鹏玮,许嵩. 3D打印辅助双侧钢板内固定在复杂性胫骨平台骨折中的疗效观察. 西部医学. 2024(12): 1819-1822+1828 . 百度学术
    2. 杜帅,张成林,孙文明,马玉平,姚燕生. 激光微细加工技术在医疗器材领域的应用. 光电工程. 2023(03): 187-201 . 本站查看

    其他类型引用(0)

  • 版权信息

    版权属于中国科学院光电技术研究所,但文章内容可以在本网站免费下载,以及免费用于学习和科研工作
  • 关于本文

    DOI: 10.12086/oee.2021.200383
    引用本文
    Citation:
    王晶, 乌日开西·艾依提, 艾合买提江·玉素甫. 基于3D打印的胫骨骨折外固定生物力学研究[J]. 光电工程, 2021, 48(7): 200383. DOI: 10.12086/oee.2021.200383
    Citation:
    Wang J, Aiyiti W, Yusufu A. Biomechanical study on external fixation of tibial fractures based on 3D printing[J]. Opto-Electron Eng, 2021, 48(7): 200383. DOI: 10.12086/oee.2021.200383
    导出引用
    出版历程
    • 收稿日期 2020-10-18
    • 修回日期 2021-03-29
    • 刊出日期 2021-07-14
    文章计量
    访问数(4746) PDF下载数(676)
    分享:
  • 相关文章

    [1] 张波涛, 李正强, 华超豪, 谢佳龙, 吕强. 基于多视角融合的手眼协同超视野目标测量与3D重建 [J]. 光电工程, 2024, 51(10): 240180. DOI: 10.12086/oee.2024.240180
    [2] 新的显示形态:大视角桌面集成成像光场3D显示器 [J]. 光电工程, 2023, 50(12): 231012. DOI: 10.12086/oee.2023.231012.h02
    [3] 连伟龙, 连芩, 焦天, 何晓宁, 赵明, 胡大海, 万敏. 皮肤修复生物3D打印的研究进展与挑战 [J]. 光电工程, 2021, 48(8): 210105. DOI: 10.12086/oee.2021.210105
    [4] 程麒, 潘丰, 袁瑜键. 基于3D视觉传感器的龙门架机器人手眼标定方法 [J]. 光电工程, 2021, 48(4): 200239. DOI: 10.12086/oee.2021.200239
    [5] 刘侠, 甘权, 李冰, 刘晓, 王波. 融合加权随机森林的自动3D椎骨CT图像主动轮廓分割方法 [J]. 光电工程, 2020, 47(12): 200002. DOI: 10.12086/oee.2020.200002
    [6] 戚李阳, 徐斌, 王元庆. 基于互补式多波段带通滤光片的3D投影显示系统 [J]. 光电工程, 2020, 47(7): 190334. DOI: 10.12086/oee.2020.190334
    [7] 李梁华, 王永雄. 高效3D密集残差网络及其在人体行为识别中的应用 [J]. 光电工程, 2020, 47(2): 190139. DOI: 10.12086/oee.2020.190139
    [8] 田鹏, 严伟, 李凡星, 杨帆, 吴云飞, 何渝. 均匀球面波数字同轴全息生物显微方法 [J]. 光电工程, 2019, 46(1): 180110. DOI: 10.12086/oee.2019.180110
    [9] 陈林, 黄林海, 李新阳. 基于二维正交光栅的高精度质心探测方法 [J]. 光电工程, 2017, 44(9): 912-918. DOI: 10.3969/j.issn.1003-501X.2017.09.008
    [10] 叶树亮, 许莹琨, 朱维斌. 非正交光栅莫尔信号数字细分方法与实现 [J]. 光电工程, 2017, 44(9): 903-911. DOI: 10.3969/j.issn.1003-501X.2017.09.007
  • 水平 因素A 因素B/mm 因素C/mm
    1 1、2、3 100 40
    2 1、2 120 30
    3 1、3 140 50
    文章中查看 下载
  • 胫骨骨折模型孔的布局示意图 试验编号 因素 H1 H2 H3 H4 H5 H6 H7 H8 H9 H10
    A B C
    1 A1 B1 C1
    2 A1 B2 C2
    3 A1 B3 C3
    4 A2 B1 C2
    5 A2 B2 C3
    6 A2 B3 C1
    7 A3 B1 C3
    8 A3 B2 C1
    9 A3 B3 C2
    文章中查看 下载
  • 试验方案 Schanz钉的变形量/mm
    A1B1C1 0.42±0.03
    A1B2C2 0.21±0.02
    A1B3C3 0.60±0.06
    A2B1C2 0.44±0.01
    A2B2C3 0.79±0.11
    A2B3C1 0.62±0.07
    A3B1C3 0.69±0.21
    A3B2C1 0.48±0.05
    A3B3C2 0.31±0.06
    文章中查看 下载
  • 实验结果分析 因素
    A B C
    K1 1.2367 1.5517 1.5171
    K2 1.8568 1.4817 0.9667
    K3 1.4721 1.5322 2.0818
    极差R 0.2067 0.0233 0.3717
    因素主次 C A B
    最优方案 A1 B2 C2
    文章中查看 下载
  • 差异源 Ⅲ型平方和SS 自由度df 均方MS F值 显著性
    因素A 0.0653 2 0.0327 5689.2903 0.00018
    因素B 0.0009 2 0.0004 75.7741 0.013
    因素C 0.2073 2 0.1036 18049.8767 0.00006
    误差 1.148E-5 2 5.741E-6
    总计 0.2735 8
    文章中查看 下载

卢秉恒, 李涤尘. 增材制造(3D打印)技术发展[J]. 机械制造与自动化, 2013, 42(4): 1-4.

DOI: 10.3969/j.issn.1671-5276.2013.04.001

Lu B H, Li D C. Development of the additive manufacturing (3D printing)technology[J]. Mach Build Autom, 2013, 42(4): 1-4.

DOI: 10.3969/j.issn.1671-5276.2013.04.001

邓滨, 欧阳汉斌, 黄文华. 3D打印在医学领域的应用进展[J]. 中国医学物理学杂志, 2016, 33(4): 389-392.

DOI: 10.3969/j.issn.1005-202X.2016.04.014

Deng B, Ouyang H B, Huang W H. Application progress of three-dimensional printing in medical field[J]. Chin J Med Phys, 2016, 33(4): 389-392.

DOI: 10.3969/j.issn.1005-202X.2016.04.014

阿依古丽·喀斯木. 3D打印技术在骨科手术辅助中的应用研究[D]. 乌鲁木齐: 新疆大学, 2017.

Application of 3D printing technology in the orthopedic surgery assist[D]. Urumqi: Xinjiang University, 2017.

蒋明辉, 蔡立宏, 雷青, 等. 3D打印技术在骨科临床的应用研究及展望[J]. 中华损伤与修复杂志(电子版), 2016, 11(4): 288-290.

DOI: 10.3877/cma.j.issn.1673-9450.2016.04.011

Jiang M H, Cai L H, Lei Q, et al. Application research and prospect of 3D printing technology in department of orthopedics[J]. Chin J Inj Repair Wound Heal (Electron Ed), 2016, 11(4): 288-290.

DOI: 10.3877/cma.j.issn.1673-9450.2016.04.011

王燎, 戴尅戎. 骨科个体化治疗与3D打印技术[J]. 医用生物力学, 2014, 29(3): 193-199.

https://www.cnki.com.cn/Article/CJFDTOTAL-YISX201403001.htm

Wang L, Dai K R. Individualized treatment of orthopaedics and 3D printing technology[J]. J Med Biomech, 2014, 29(3): 193-199.

https://www.cnki.com.cn/Article/CJFDTOTAL-YISX201403001.htm

Lowenberg D W, Githens M, Boone C. Principles of tibial fracture management with circular external fixation[J]. Orthop Clin North Am, 2014, 45(2): 191-206.

DOI: 10.1016/j.ocl.2013.11.003

Emami A, Mjöberg B, Karlström G, et al. Treatment of closed tibial shaft fractures with unilateral external fixation[J]. Injury, 1995, 26(5): 299-303.

DOI: 10.1016/0020-1383(95)00037-A

Stoffel K, Dieter U, Stachowiak G, et al. Biomechanical testing of the LCP--how can stability in locked internal fixators be controlled?[J]. Injury, 2003, 34(S2): B11-B19.

DOI: 10.1016/j.injury.2003.09.021

Kouassi K J E, Cartiaux O, Fonkoué L, et al. Biomechanical study of a low-cost external fixator for diaphyseal fractures of long bones[J]. J Orthop Surg Res, 2020, 15(1): 247.

DOI: 10.1186/s13018-020-01777-5

Shi D, Liu K Y, Zhang H M, et al. Investigating the biomechanical function of the plate-type external fixator in the treatment of tibial fractures: a biomechanical study[J]. BMC Musculoskelet Disord, 2020, 21(1): 128.

DOI: 10.1186/s12891-020-3144-5

Moazen M, Calder P, Koroma P, et al. An experimental evaluation of fracture movement in two alternative tibial fracture fixation models using a vibrating platform[J]. Proc Inst Mech Eng Part H, 2019, 233(5): 595-599.

DOI: 10.1177/0954411919837304

阿孜古丽·克热木, 乌日开西·艾依提, 滕勇. 接骨板固定股骨干骨折的有限元分析[J]. 机械设计与制造, 2020(9): 172-175.

DOI: 10.3969/j.issn.1001-3997.2020.09.041

Keremu A, Aiyiti W, Teng Y. Finite element analysis of bone plate fixation for femoral shaft fracture[J]. Mach Des Manuf, 2020(9): 172-175.

DOI: 10.3969/j.issn.1001-3997.2020.09.041

张剑锋. 3D打印组配式节段型人工假体重建骨干缺损的实验研究[D]. 天津: 天津医科大学, 2019.

Zhang J F. Experimental study on reconstruction of diaphyseal defect with 3D-printing modular intercalary endoprosthesis[D]. Tianjin: Tianjin Medical University, 2019.

Gao F Y, Wang Q, Liu C X, et al. Individualized 3D printed model-assisted posterior screw fixation for the treatment of craniovertebral junction abnormality: a retrospective study[J]. J Neurosurg: Spine, 2017, 27(1): 29-34.

DOI: 10.3171/2016.11.SPINE16713

Li L, Yang L F, Yu F, et al. 3D printing individualized heel cup for improving the self-reported pain of plantar fasciitis[J]. J Transl Med, 2018, 16(1): 167.

DOI: 10.1186/s12967-018-1547-y

刘豫新. 锁定钢板工作长度对股骨干骨折力学的影响[D]. 天津: 天津医科大学, 2017.

Liu Y X. The effect of working length of locking plate on the mechanics of femoral shaft fracture[D]. Tianjin: Tianjin Medical University, 2017.

基于3D打印的胫骨骨折外固定生物力学研究
  • 图  1
  • 图  2
  • 图  3
  • 图  4
  • 图  5
  • 图  6
基于3D打印的胫骨骨折外固定生物力学研究
  • 水平 因素A 因素B/mm 因素C/mm
    1 1、2、3 100 40
    2 1、2 120 30
    3 1、3 140 50
  • 胫骨骨折模型孔的布局示意图 试验编号 因素 H1 H2 H3 H4 H5 H6 H7 H8 H9 H10
    A B C
    1 A1 B1 C1
    2 A1 B2 C2
    3 A1 B3 C3
    4 A2 B1 C2
    5 A2 B2 C3
    6 A2 B3 C1
    7 A3 B1 C3
    8 A3 B2 C1
    9 A3 B3 C2
  • 试验方案 Schanz钉的变形量/mm
    A1B1C1 0.42±0.03
    A1B2C2 0.21±0.02
    A1B3C3 0.60±0.06
    A2B1C2 0.44±0.01
    A2B2C3 0.79±0.11
    A2B3C1 0.62±0.07
    A3B1C3 0.69±0.21
    A3B2C1 0.48±0.05
    A3B3C2 0.31±0.06
  • 实验结果分析 因素
    A B C
    K1 1.2367 1.5517 1.5171
    K2 1.8568 1.4817 0.9667
    K3 1.4721 1.5322 2.0818
    极差R 0.2067 0.0233 0.3717
    因素主次 C A B
    最优方案 A1 B2 C2
  • 差异源 Ⅲ型平方和SS 自由度df 均方MS F值 显著性
    因素A 0.0653 2 0.0327 5689.2903 0.00018
    因素B 0.0009 2 0.0004 75.7741 0.013
    因素C 0.2073 2 0.1036 18049.8767 0.00006
    误差 1.148E-5 2 5.741E-6
    总计 0.2735 8
  • 表  1

    因素与水平表

      1/5
  • 表  2

    正交试验表

      2/5
  • 表  3

    各试验组Schanz钉的变形量

      3/5
  • 表  4

    变形量直观分析表

      4/5
  • 表  5

    实验结果变形量数据方差分析表

      5/5