-
摘要
残余应力是光学元件的一个重要性能参数,对光学元件的制造和使用意义重大。光学元件残余应力的无损检测方法可粗略概括为两大类:一类是基于应变的测量方法,包括X射线衍射法、Stoney曲率法和显微拉曼光谱法,这些方法基于晶体和弹性力学分析方法,发展成熟、应用广泛;另一类是基于应力双折射效应的测量方法,包括数字光弹法、光弹调制器法和偏振光腔衰荡法,都是对残余应力导致的双折射相位差的测量,具有更直接的光学关联性、测量精度高的特点。本文归纳了光学元件残余应力测量的几种常见方法的测量原理、测量精度和应用场景,对比了它们的性能并分析了它们之间的关联性,以期建立起光学元件残余应力无损检测的宏观印象。
Abstract
Residual stress is an important performance indicator of optics, which is of great significance to the fabrications and applications of optical components. Residual stress measurement methods of optics can be summed up into two categories: methods based on the strain measurement and on the stress induced birefringence measurement, respectively. The strain based methods, which are built upon crystal dynamics and elastic mechanics, including X-ray diffraction (XRD), Stoney curvature method, and micro-Raman spectroscopic method, are well developed and widely used. Methods based on the measurements of birefringence phase retardation induced by residual stress, including digital photoelasticity method, photoelasticitic modulator (PEM) method and polarization-dependent cavity ring-down method, show a higher precision. The principles, measurement precisions and application scenarios of these residual stress measurement methods are summarized in this overview. Comparisons between the performances of these methods are performed and correlations between them are analyzed in detail.
Keywords
-
1. 引言
光学元件(Optics/optical components)是一个庞大的集合,涉及的材料不可胜数,结构和功能多样,如各种基底、透镜、晶体、光纤、增透/反射薄膜元件等。在光学元件制造过程中,一般从原材料熔融到成型,需要经历高温到冷却的过程和相变,温度变化过程会产生热应力,成分的不均匀或材料的不一致还会形成结构残余应力。虽然应力是材料的固有属性,但过高的残余应力会危害光学元件的功能完整性,如对光学元件基底而言,残余应力会引起基底面形偏差甚至开裂,造成光波前的畸变、双折射等;对薄膜元件而言,过大的残余应力会导致薄膜产生裂痕、褶皱、脱层等,影响薄膜的性能和使用寿命。
由于应力影响广泛,在工业领域拥有深厚的研究基础,特别是针对金属和合金材料中残余的应力,发展了多种测量方法,如钻孔法、X射线衍射法、中子衍射法、超声法等[1]。光学元件由于其材料和制造工艺的特殊性,在这些方法的基础上,发展了具有光学特色的测量方法。从根本上说,残余应力都是固化在材料内部的晶格形变,大部分测量方法都是基于应变的测量来估计应力的大小。根据各种测量方法之间的关联性,本文将基于应力双折射相位差测量的方法单独归为一类,以便于直观比较,综述了X射线衍射法、Stoney曲率法、显微拉曼光谱法、数字光弹法、光弹调制器法和偏振光腔衰荡法六种方法,对比了六种方法的使用场景、测量精度等特性。
2. 光学元件应变和残余应力测量方法
残余应力是在没有外力或外力矩作用下构件或材料内部存在并自身平衡的宏观应力。对于多晶材料而言,宏观应力所对应的应变被认为是相应区域晶格应变的统计结果[2]。
2.1 X射线衍射法
X射线衍射法(X-ray diffraction, XRD)以其无损伤、测量区域可变和重复精度高等优点,成为测量晶体材料残余应力的首选方法,常用于微晶玻璃[3]和金属薄膜光学元件表面残余应力的检测[4],也用于光学元件薄膜结晶相的含量测定[5-6]。国家标准GB7704-2017[2]确定了XRD测量晶体材料残余应力的几种方法。以商用仪器常采用的同倾固定ψ0法为例,X射线以一定角度照射到晶体表面时会发生衍射现象,衍射条纹的位置会因为经过晶格间距的不同而发生变化,通过对比有无残余应力时的晶格间距的变化值,再结合结晶学理论就可以计算出残余应力的大小。
如图 1为X射线衍射法测定残余应力原理示意图,X-ray表示射线源,D为探测器,ψ0为入射X射线与材料表面法线的夹角,ψ为衍射晶面法线与表面法线的夹角。平面应力状态下,x方向的残余应力σ如下所示:
σ=K∂2θψ∂sin2ψ, 其中K是材料的应力常数,其表达式:
K = - \frac{E}{{2\left( {1 + \nu } \right)}}\frac{{\rm{ \mathsf{ π} }}}{{180}}\cot {\theta _0}。 其中:E为材料的弹性模量,ν为材料泊松比,θ0为无应力时的衍射角,2{\theta _\psi }为实际测得的衍射角。由布拉格定律可知,式(1)中\partial 2{\theta _\psi }/\partial {\sin ^2}\psi 反映的是晶面间距随衍射晶面方位角ψ的变化趋势,通过固定ψ0测得与对应2{\theta _\psi }的线性关系即可得到晶体的应力。X射线衍射法只能测量晶体的表面残余应力,对大多数材料和元件来说,X射线穿透深度只有几微米至几十微米,通过有损的剥层测量可以获得深度方向应力分布。
XRD残余应力测量精度影响因素众多,如衍射仪的系统设置、材料晶粒大小和互作用、深度方向的应力梯度、材料各向异性等,从而导致\partial 2{\theta _\psi }/\partial {\sin ^2}\psi 的非线性[7]。主要不确定性因素有三种:测量重复性、材料弹性模量不确定性和\partial 2{\theta _\psi }/\partial {\sin ^2}\psi 拟合的不确定性。三者在不同的测量系统和测量样品上具有不同的权重,一般通过不确定度报告综合分析总的测量不确定性[8]。综合分析,XRD残余应力测量精度在十MPa到几十MPa之间。2015年,于康等[9]使用还原铁粉试样,测定其XRD设备的测量重复性在±14 MPa以内,这也是国家标准GB7704-2017确定的XRD仪器测量重复性检定最低要求。提高XRD测量精度的方法有通过增加倾斜角度提高衍射峰的拟合精度,另外XRD数据处理中定峰的方法对测量精度的影响也至关重要。2010年,Luo等[10]通过十几种磁控溅射镀制的氮化物薄膜的XRD残余应力测定实验,综合评估了4种XRD定峰方法的精度。实验中发现,70%抛物线法对不同大小残余应力薄膜衍射曲线具有最高的拟合重复性精度,面积重心法和半高宽法次之,最大值法受扰动最大,通过抛物线法拟合确定薄膜的残余应力不确定性最小达到10 MPa。
2.2 Stoney曲率法
在光学基底上镀制各向同性薄膜时,由于薄膜和基底晶格的不匹配以及热膨胀系数的不一致等原因,薄膜上产生残余应力并造成基底变形。因此,可以通过基底的应变量来评估薄膜—基底体系的残余应力。该方法自1909年由Stoney提出以来,一直是微电子、光电子和结构组件表面涂层等薄膜应用中应力评价的基础[11-13]。
Stoney残余应力计算如下所示:
\sigma = \frac{{{E_{\rm{s}}}h_{\rm{s}}^2}}{{6(1 - {\nu _{\rm{s}}})h}}\left( {\frac{1}{R} - \frac{1}{{{R_0}}}} \right)。 其中:\sigma 为薄膜残余应力,{E_{\rm{s}}}为基底杨氏模量,{\nu _{\rm{s}}}为基底泊松比,hs为基底厚度,h为薄膜厚度,R为镀制薄膜基底的曲率半径,R0是未镀制薄膜时基底的曲率半径,因此无需知道薄膜的弹性力学参数。由于基底材料、膜层性质及镀膜工艺的不同,镀膜后基底可能表现为凹入也可能表现为凸出,如图 2所示[14],这体现在通过Stoney公式计算得到的残余应力的正负号上,正号表示张应力,负号表示压应力。测量基底曲率的方法有轮廓法[15]、干涉法[16]、光杠杆法[17]等,光检测可满足在线原位应力监测需求[18]。
但Stoney方法作为一种近似估计方法,其应用存在限制条件,以保证系统误差在可接受的范围。综合来看,使用Stoney公式计算薄膜应力的精度主要取决于:1)薄膜厚度估计的不确定性;2)基底材料弹性模量和泊松比的不确定性;3)薄膜的应力分布不均匀性。针对这些限制,Klein[19]在2000年理论研究了薄膜厚度不能忽略情况下Stoney公式的误差,在厚度比例小于0.1情况下,Stoney误差在10%左右。并据此,在Timoshenko[20],Rich[21],Atkinson[22]和Senderoff[23]研究的基础上,Klein提出了优化的修正系数来提高Stoney公式在厚膜情形下的计算精度。2006年Zhang等[24]使用该公式估计了锆金属玻璃在喷丸强化后的表面残余应力,使用压痕方法和扫描电镜方法确定了1000 μm厚度金属玻璃上形成的80 μm厚喷丸界面层,计算得到残余应力在1.9 GPa,测量结果具有±20%误差,主要是喷丸界面层和未变形层厚度的不确定性导致。另外,不规则变形也是Stoney公式计算应力的误差来源。Freund和Suresh在其专著[25]中详细讨论了非均匀的应力分布情况下应力计算的误差。特别是对大变形情形,Stoney公式完全失效,需要进行针对性的修正以保证精度[26]。
2.3 显微拉曼光谱法
拉曼光谱法测量残余应力的物理基础是材料的某些特征拉曼峰或荧光峰形状对材料的应变(应力)敏感。实验和理论研究表明,峰波数与应变的函数关系常常是线性的,峰半高宽与应变也有类似关系。简单的应变—拉曼频移关系式:
\sigma = \mathit{\Phi} \Delta \omega 。 式中:\sigma 是应力(MPa),Φ是应力—频移系数(MPa/cm-1),\Delta \omega 是拉曼频移(cm-1)。应变—拉曼常数可通过晶格动力学解析、半解析半经验方法或实验方法得到[27]。
拉曼光谱法测定材料残余应力的主要优点是无损、非接触、高空间分辨率、样品无需特别制备、原位测试能力等。Li等[28]使用拉曼光谱技术研究了天文光学应用中的反应烧结SiC基底的多晶态成份、表面缺陷和残余应力,缺陷来源于金刚石研磨过程,相比无应力样品,6H-SiC拉曼散射峰向低频移动了5 cm-1左右,表现为张应力。Groth等[29]通过共聚焦拉曼光谱扫描,研究了研磨加工后不同表面粗糙度的SiC在不同深度表面下的残余应力,发现表面粗糙度越小的镜面具有更强的压缩应力。图 3所示是由于金刚石研磨加工导致的SiC基底拉曼光谱频移,应力—频移系数等于320 MPa/cm-1。拉曼光谱法结合激光显微共聚焦技术已经发展成了材料微观力学的一个重要方法,在微晶玻璃基底[30]、激光晶体[31]、中红外类金刚石增透膜[32],全光器件中的硅光纤[33]、非制冷红外焦平面阵列[34]等材料和器件残余应力研究中发挥了重要作用。国内天津大学亢一澜教授和大连理工大学雷振坤教授团队研究了拉曼光谱法在微机电系统多孔硅薄膜、碳纳米管和复合材料的残余应力测量中的应用[35]。
拉曼光谱法应力测量的精度受环境因素(如温度、压力、振动等)影响较大,还需考虑入射激光的聚焦稳定性,实际应力测量值在几十MPa之间漂移。Groth等[29]使用Renishaw Inc inVia™光谱仪测量拉曼峰的位置不确定度小于0.05 cm-1,结合图 3提供的应力—频移系数可得SiC表面残余应力测量不确定度为±16 MPa。特别地,拉曼光谱法测量精度受温度影响严重,拉曼谱线的形状与被测晶体所处环境的应力和温度紧密相关。拉曼峰位置一般随着温度的升高而向低波数方向移动。据此,拉曼光谱法甚至可用于估计金刚石刀具在切削时的温度[36]。因此,减小测量环境温度波动是提高精度的关键。邱宇等[37]在研究微机电系统中硅基底表面多孔硅薄膜体系残余应力时,考虑到激光的加热效应会改变局部应力分布,因此使用低功率的探测方式。
3. 光学元件双折射和残余应力测量方法
1816年英国物理学家Brewster发现玻璃在应力作用下具有双折射现象,在此基础上发展了光弹性法(photoelasticity),即据材料受到应力时所表现的双折射现象测量应力的实验方法。对于平面应力状态,有Wertheim应力光学定律[38]:
{n_1} - {n_2} = C({\sigma _1} - {\sigma _2}), 式中:{\sigma _1}和{\sigma _2}分别代表第一与第二主应力,{n_1}和{n_2}为偏振光分别在主应力方向上的折射率,C为材料的光弹性常数。
当线偏振光垂直入射到厚度为d的被测样品时,入射光沿着样品主应力方向分解为两束平面偏振光E1和E2。由于双折射现象的存在,出射时E1和E2存在着的相位差δ为
\delta = \frac{{2{\rm{ \mathsf{ π} }}d}}{\lambda }C({\sigma _1} - {\sigma _2})。 3.1 数字光弹法
自1816年发现玻璃的光弹性以来,正交偏光镜一直是定性研究应力双折射的简便方法。1840年,Senarmont[39]在正交偏光镜基础上加入四分之一波片,完成了双折射延迟量的定量测量。在正交偏光镜基础上,将残余应力双折射引起的偏振光干涉条纹与计算机图像处理技术结合来自动釆集光弹性数据和分析应力的方法,称为数字光弹法(digital photoelasticity)[40-42]。与传统光弹法相比,它可以进一步提高测量速度和精度。基于数字光弹法的应力双折射测量仪器发展最成熟,在玻璃制造工业[43]、光伏面板制造[44]等高精度应力检测领域发挥了重要作用。
如图 4(a)是数字光弹法的原理图[45],检测光依次经过线偏振器、四分之一波片I、待测样品、四分之一波片II和检偏器,可以看到等倾线与等色线条纹图案。样品中主应力的方向相同的点构成的线条为等倾线条纹(isoclinic fringe),主应力的差值相同的点构成等色线(isochromatic fringe)。如果光源为白光,则等色线呈现为彩色条纹,等倾线为黑色的。通过分析得到的等色线、等倾线即可以确定平面应力大小和方向的分布。
测量时主应力方向不变的三维待测样品,可以使用二维模型来测量等倾参数\varphi 和双折射相位差\delta ,对如图 4所示坐标系有:
\delta \cos 2\varphi = C\int {({\sigma _y} - {\sigma _x})} {\rm{d}}z, \delta \sin 2\varphi = 2C\int {{\tau _{xy}}} {\rm{d}}z, 其中:C为光弹系数,{\sigma _y},{\sigma _x},{\tau _{xy}}为垂直检测光平面内应力。
如图 4(b)是透镜的条纹图,在等倾线与等色线重叠区域,等色线模糊不清。为了确定等倾线与等色线,需要将等倾线与等色线进行分离。经过数十年的发展,兴起了条纹载波片法[46],RGB光弹法[47],相移法[48-50]等,部分方法已获得很好的商业应用,具有几纳米到几千纳米的光程差测量范围[40]。
由于使用面成像方法,因此光源照明光强的分布均匀性对测量结果的准确性影响很大,光源不均匀则需要增加相移次数消除[49]。而减少采集次数和利用计算机同步处理是提高测量效率的热点研究方向。Sung等[51]提出了两步相移和透射光谱测量微小应力的方法,通过在玻璃圆盘上加载阶梯径向载荷验证方法具有高的测量精度,在0.384 MPa低应力载荷下的测量不确定性达到0.029 MPa(750 nm条纹级次为0.001,即对应633 nm光程差为0.633 nm);该方法不需要材料在不同波长下的应力光弹系数,但需要事先通过载荷实验建立材料的应力—透射光谱数据库。2018年,Guo等[52]通过六步相移法和改进的插值和剪切应力积分方法,测得受径向载荷薄圆盘上,0°和80°积分路径上正应力的理论值和测量值的误差分别为1.5 kPa和6.0 kPa,相对误差为0.5%和2%。
3.2 光弹调制器法
光弹调制器(Photoelastic modulator,PEM)是一种基于光弹效应的人工双折射光机电器件,具有高速、高分辨率、高灵敏度、高偏振精度、抗振动性好的光谱测量优势[53],基于光弹调制器的双折射测量方法是目前精度最高的商业化应力双折射测量方法[54-55]。
光弹调制器法测量原理如图 5(a)所示,探测激光经过起偏器、光弹调制器、待测样品、检偏器后进入探测器。光弹调制器对起偏器输入的线偏振光进行调制,附加周期性的双折射相位差,使得光弹调制器出射的偏振态从线偏振光到椭圆偏振光周期性改变。探测器信号通过锁相放大器和低通滤波器后的解析式可通过Jones矩阵或Mueller矩阵推导得到。通过旋转检偏器,测量两通道信号,可以获得双折射相位差和快轴角度。其中,通道一检偏器与起偏器透光方向正交,通道二检偏器透光方向和光弹调制器快轴方向一致,与起偏器透光方向夹45°角。光弹调制器法双折射相位差测量精度达到0.003°(即对应633 nm光程差为0.005 nm),根据应力—光弹定律和熔石英的光弹系数(C=3.5×10-12 Pa-1)[56]可得应力测量精度达到0.2 kPa量级。如图 5(b)是波片逐点扫描成像的应力和快轴角度分布图。
3.3 偏振光腔衰荡法
光腔衰荡技术(Cavity ring-down, CRD)是一种基于高精细度谐振腔的高灵敏探测方法,通过探测激光在光学谐振腔内的多次来回反射,可使测量光程增加几千到几十万倍;同时,由于测量的是光强衰减速率,所以不受光源强度波动的影响,被广泛应用于气体吸收光谱测量[57]。由于谐振腔高反射率腔镜残余应力和膜层不均匀性,产生各向异性对一些高精度光学系统如宇称不守恒实验[58]、引力波探测实验[59]等产生负面影响,因此发展出了偏振光腔衰荡技术,用于高反射腔镜应力双折射的测量。
1999年,Vallet等[60]总结了基于正交偏振器内各向异性F-P (Fabry-Perot)腔干涉仪的应用文章,如图 6是偏振F-P腔模型。偏振F-P腔最初用于测量原子气体的圆二向色性,并且随着镀膜技术的发展,被用于测量高精细度F-P腔高反镜的残余应力双折射。Vallet提出了四类腔内各向异性模型,并使用Jones矩阵法推导了对应的腔响应表达式,为后续使用光学谐振腔进行各向异性研究提供了理论参考。
2000年,Lee等[61]首次利用光腔衰荡技术测量了两个谐振腔镜的应力双折射,通过Jones矩阵推导了弱应力双折射近似条件下s和p光单指数拟合衰荡时间的关系,得到两个腔镜的双折射相位差和快轴角度。通过该方法,Lee等测量了10-6 rad量级腔镜双折射,重复性精度达到6×10-8 rad(即对应633 nm光程差为6.0×10-6 nm)。
2018年,电子科技大学李斌成教授团队[62]首次将偏振光腔衰荡技术用于熔石英基底的残余应力测量,图 7为光腔衰荡应力双折射测量系统图。633 nm检测激光依次通过光隔离器、声光调制器,并由四分之一波片和偏振器得到线偏振光入射到高反射腔镜M1和M2组成的谐振腔。熔石英样品放置在腔内,输出光经四分之一波片和偏振分光棱镜分为两束相互正交的线偏振激光分别被两路探测器探测。腔内熔石英片残余应力双折射导致s光和p光之间的能量转移,产生两路偏离单指数的光腔衰荡信号。s光和p光衰荡信号表达式为
I(t) = A{{\rm{e}}^{ - \frac{t}{\tau }}}[1 + m\sin (\omega t + \varphi )] + B , 其中:t是时间,A是衰荡振幅,B是直流偏置,τ是衰荡时间,m是双折射调制系数,φ是初相位,ω是应力双折射导致的衰荡信号振荡频率,由δ=ωL/c计算得到熔石英基片应力双折射相位差,L是谐振腔长度,c是真空光速。系统达到10-4 rad量级应力双折射重复性测量精度2.38×10-6 rad(即对应633 nm光程差为2.4×10-4 nm),应力双折射测量上限优于0.008 rad,根据应力-光弹定律和熔石英的光弹系数[55]可得应力测量精度达到0.03 kPa。
4. 残余应力测量方法的对比和联系
综合来看,基于应变测量和基于应力双折射测量光学元件残余应力的方法使用不同的仪器设备,适用不同材料和应用需求,具有不同的检测精度、空间分辨率等特性。由于基于不同的力学模型,因此无法直接对比不同方法测量的残余应力值。但在实际应用中,残余应力的相对大小更具有现实意义,可以反映不同工艺流程中残余应力的变化,不同方法之间又具有了可比性。表 1对比了几种光学元件残余应力测量方法的适用范围、测量精度、空间分辨率等信息。
测量方法 适用元件 参考样品 测量 测量精度 横向分辨率 穿透深度 XRD 单晶、多晶、微晶材料元件 需要无应力样品参考 正应力,切应力 ±10 MPa < 10 μm < 30 μm Stoney曲率法 薄膜元件 不需要参考 等双轴正应力 ±10% —— —— 拉曼光谱法 拉曼活性光学材料 需要无应力样品参考 双轴正应力 ±10 MPa < 1 μm 不限 数字光弹法 透明光学材料(透射测量) 不需要参考 主应力差,切应力 ±0.03 MPa < 12 μm 不限 光弹调制器法 透明光学材料(透射测量) 不需要参考 主应力差 ±0.2 kPa < 1 mm 不限 偏振光腔衰荡法 透明光学材料(透射测量) 不需要参考 主应力差 ±0.03 kPa < 1 mm 不限 XRD通过微观的晶格应变测定晶体材料的残余应力,在辐射光强较强时能达到微米量级的空间分辨率;同时,通过XRD分析可得到晶体取向参数、结晶相含量、成分等信息,通过掠入射XRD还可获得材料表面如膜层厚度、表面粗糙度信息[63]。因此,XRD是残余应力测量的基准分析方法,为其他应力测量方法提供参考。但通常的X射线衍射无法深入到光学材料内部,中子衍射或同步辐射XRD虽然具有很强的穿透能力,然而这类设备价格昂贵,难以普遍应用。因此,更深层的应力通常需要通过其他方法测量。
Stoney方法通过宏观的变形曲率测量薄膜残余应力,其测量具有较大面积的平均效果;XRD测量光斑大小一般通过狭缝控制在毫米量级,因此平均范围也较大。对晶体薄膜光学元件,XRD方法和Stoney方法测量的残余应力具有可比性。Hearne等[64]使用Stoney光杠杆曲率测量法在线监测了GaN薄膜生长过程中的应力演变,GaN薄膜通过金属氧化物化学气相沉积法在1050 ℃高温条件下沉积到蓝宝石基底上。经过退火后,XRD在常温条件下测量,10个样品的残余应力测量结果如图 8(a)所示。可见,生长过程表现张应力,常温下表现压应力;虽然两种方法具有不同的测量精度和空间分辨率,但测量结果显示XRD和Stoney方法具有很好的一致性。这两者的差值统计结果为(-0.66±0.1) GPa,表现了高温到常温过程中由于热膨胀系数不一致引起的热应力变化。
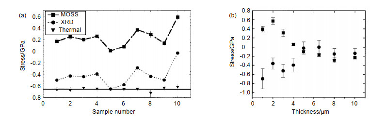
Ferreira等[65]通过化学气相沉积在硅光学窗口上镀制了不同厚度的金刚石薄膜,并使用XRD和拉曼光谱测量了残余应力。XRD通过狭缝控制探测光斑面积为5 mm×1 mm。拉曼光谱仪探测光斑有2 μm和5 μm两种直径,穿透深度为5 μm。为了排除应力分布不均匀性的影响,Ferreira等在4 mm2范围内测量5个点平均,面积与XRD相当。测量结果表明,金刚石薄膜厚度在10 μm到40 μm的几个样品,XRD和拉曼光谱法测量结果具有很好的一致性,薄膜表现为压应力;但小于10 μm的几个样品,XRD测量表现为随着厚度增加从张应力到压应力的转变,拉曼光谱测量表现为相反趋势,如图 8(b)所示,方形点为XRD测量结果。
光学元件双折射残余应力测量方法,可直接通过双折射相位差进行对比。Xiao等[62]通过熔石英基片的应力双折射扫描比较了偏振光腔衰荡方法和光弹调制器法。测量结果基本一致,如图 9所示,大部分点的差异小于5×10-3 nm。差异可能来源于Hinds仪器的测量不确定度,扫描位置不匹配,两种方法光斑大小的差异等因素。
5. 结论
残余应力是光学元件的重要参数,应力表现为材料的变形和双折射效应。对基于应变的光学元件应力测量方法,XRD具有无损和精度高的特点,特别适合晶体材料应力的测量,是残余应力测量的标准方法,应力测量精度在10 MPa左右。Stoney曲率法不需要光学薄膜的弹性力学性能参数,凭借基底的弹性性能评估镀膜后产生的残余应力大小,测量原理简单,但测量精度不高,在几十MPa左右,受基底泊松比和应力分布均匀性等影响。拉曼光谱法适合对具有拉曼活性的光学材料进行测量,具有10 MPa左右测量精度,其测量精度受环境温度影响严重。根据应力双折射效应测量光学元件残余应力的方法随着玻璃的发明使用一直在发展。数字光弹法结合CCD和计算机图像处理技术,是一种方便快捷的应力分布成像方法,具有0.03 MPa量级的应力双折射测量精度。光弹调制器法具有更高的应力双折射测量精度,相位差测量精度达到0.005 nm,应力测量精度达到0.2 kPa量级。偏振光腔衰荡法应力双折射测量精度达到2.4×10-4 nm,应力测量精度达到0.03 kPa量级,是目前报道精度最高的测量技术。
-
参考文献
Withers P J, Bhadeshia H K D H. Residual stress. Part 1–measurement techniques[J]. Materials science and Technology, 2001, 17(4): 355–365.
DOI: 10.1179/026708301101509980中华人民共和国国家质量监督检验检疫总局, 中国国家标准化管理委员会.无损检测X射线应力测定方法: GB 7704–2017[S].北京: 中国标准出版社, 2017.
General Administration of Quality Supervision, Inspection and Quarantine of the People's Republic of China, Standardization Administration. Non-destructive testing—Practice for residual stress measurement by X-ray: GB 7704–2017[S]. Beijing: China Standard Press, 2017.
谢俊, 程金树, 陆平, 等. X射线法测量微晶玻璃残余应力的误差分析[J].武汉理工大学学报, 2007, 29(2): 23–25.
http://www.wanfangdata.com.cn/details/detail.do?_type=perio&id=whgydxxb200702007Xie J, Cheng J S, Lu P, et al. Analysis on errors of measuring residual stress in glass-ceramic with X-ray diffraction[J]. Journal of Wuhan University of Technology, 2007, 29(2): 23–25.
http://www.wanfangdata.com.cn/details/detail.do?_type=perio&id=whgydxxb200702007Labat S, Gergaud P, Thomas O, et al. Interdependence of elastic strain and segregation in metallic multilayers: An X-Ray diffraction study of (111) Au/Ni multilayers[J]. Journal of Applied Physics, 2000, 87(3): 1172–1181.
DOI: 10.1063/1.371995展开 -
版权信息
版权属于中国科学院光电技术研究所,但文章内容可以在本网站免费下载,以及免费用于学习和科研工作 -
关于本文
引用本文
Citation:肖石磊,李斌成. 光学元件残余应力无损检测技术概述[J]. 光电工程,2020,47(8):190068. DOI: 10.12086/oee.2020.190068Citation:Xiao S L, Li B C. Residual stress measurement methods of optics[J]. Opto-Electron Eng, 2020, 47(8): 190068. DOI: 10.12086/oee.2020.190068导出引用出版历程
- 收稿日期 2019-10-08
- 修回日期 2020-01-08
- 刊出日期 2020-07-31
文章计量
访问数(15738) PDF下载数(4827)
Residual stress measurement methods of optics
Author Information+
-
School of Optoelectronic Science and Engineering, University of Electronic Science and Technology of China, Chengdu, Sichuan 610054, China
出版历程
DOI: 10.12086/oee.2020.190068
- 收稿日期: 2019-10-08
- 修回日期: 2020-01-08
- 刊出日期: 2020-07-31
- 15738 访问数
- 4827 下载数
- 引用数
E-mail Alert
RSS
下载:



